Problem
Given two integer arrays preorder and inorder where preorder is the preorder traversal of a binary tree and inorder is the inorder traversal of the same tree, construct and return the binary tree.
https://leetcode.com/problems/construct-binary-tree-from-preorder-and-inorder-traversal/
Example 1:

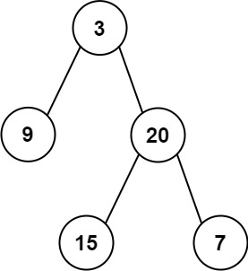
Input:
preorder = [3,9,20,15,7], inorder = [9,3,15,20,7]
Output:[3,9,20,null,null,15,7]
Example 2:
Input:
preorder = [-1], inorder = [-1]
Output:[-1]
Constraints:
1 <= preorder.length <= 3000inorder.length == preorder.length-3000 <= preorder[i], inorder[i] <= 3000preorderandinorderconsist of unique values.- Each value of
inorderalso appears inpreorder. preorderis guaranteed to be the preorder traversal of the tree.inorderis guaranteed to be the inorder traversal of the tree.
Test Cases
1 | # Definition for a binary tree node. |
1 | import pytest |
Thoughts
前序(pre-order,NLR),中序(in-order,LNR)。
1 | NLR: N-LEFTSUBTREE-RIGHTSUBTREE |
NLR 第一个数就是整棵二叉树的根节点,而 LNR 第一个数是整棵二叉树最靠左的节点。NLR 从第一个数字开始,直到遇见 LNR 第一个数字,应该就是从根节点到最左节点的路径。
例子:
1 | NLR: 3, 4, 1, 6, 7, 2, 0, 5 |
显然 NLR 的前三个数字 3、4、1 是最左的一条路径,且 1 没有左子节点。为了遍于之后能够再找到 3、4、1 并设置它们的右子节点,需要在遇到的时候就压入栈。
1 | ↓ |
NLR 的下一个数字 6,LNR 的下一个数字 7,二者不一样,说明 6 是一棵子树的树根,7 是这棵子树的最左节点。而 6 的父节点应该就是当前栈里的最后一个节点 1。注意栈里的节点都是待确定右子节点的,所以 6 是 1 的右子节点(一旦确定了右子节点就可以出栈了)。
继续扫描 NLR 直到遇见 7,组成从 6 到 7 的一条左路径(这里没有其他中间节点了)。
1 | ↓ |
LNR 的下一个数字是 6,是栈里倒数第二个数字(即 7 的父节点),说明 7 没有右子节点,只需要把 7 出栈即可。同理再下一个数字是 4,也是栈里倒数第二个数字,说明 6 也没有右子节点,直接出栈。
1 | ↓ |
然后 NLR 的 2、0 以及 LNR 的 0 也是类似,说明 2 是 4(栈里最后一个节点)的右子节点,0 是 2 的左子节点。
1 | ↓ |
LNR 后边的数字 2、3,分别说明栈里最后的 0、2 都没有右子节点,直接出栈。
最后 NLR 和 LNR 的数字都是 5,说明这是没有左子节点的树根,并且是 3(栈里最后一个节点)的右子节点。
1 | ↓ |
NLR 和 LNR 都遍历结束,所有节点都添加完毕。这时候唯一要做的是找到整棵二叉树的根节点。一个简单的办法是事先准备一个虚的初始节点,在遍历结束的时候,该初始节点的左子节点就是二叉树的根节点。
根据上边例子,整理出构建二叉树的处理逻辑:
- 从
i = 0、j = 0开始扫描 NLR 和 LNR。令当前根节点为虚拟初始节点。 - 如果
LNR[j]等于栈里倒数第二个节点的值,把栈的最后一个节点出栈(它没有右子节点),右移 j。 - 否则:
- 创建节点,其值为
NLR[i]。 - 如果当前根节点不为空,将新节点记为其左子节点;否则弹出栈的最后一个节点,将新节点记为其右子节点。
- 新节点入栈。
- 右移 i。
- 如果新节点的值等于
LNR[j],则右移 j,置当前根节点为空。否则置当前根节点为新节点。
- 创建节点,其值为
- 回到 2 重复,直到 NLR 扫描完成。
Code
1 | from typing import Optional |