Problem
Given two integer arrays, preorder and postorder where preorder is the preorder traversal of a binary tree of distinct values and postorder is the postorder traversal of the same tree, reconstruct and return the binary tree.
If there exist multiple answers, you can return any of them.
https://leetcode.com/problems/construct-binary-tree-from-preorder-and-postorder-traversal/
Example 1:

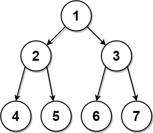
Input:
preorder = [1,2,4,5,3,6,7], postorder = [4,5,2,6,7,3,1]
Output:[1,2,3,4,5,6,7]
Example 2:
Input:
preorder = [1], postorder = [1]
Output:[1]
Constraints:
1 <= preorder.length <= 301 <= preorder[i] <= preorder.length- All the values of
preorderare unique. postorder.length == preorder.length1 <= postorder[i] <= postorder.length- All the values of
postorderare unique. - It is guaranteed that
preorderandpostorderare the preorder traversal and postorder traversal of the same binary tree.
Test Cases
1 | # Definition for a binary tree node. |
1 | import pytest |
Thoughts
跟 105. Construct Binary Tree from Preorder and Inorder Traversal 类似,都是给两个不同顺序的遍历结果,构造出二叉树。
本题给的是前序(pre-order,NLR)和后序(post-order,LRN)。当一个节点只有一个子节点时,这两种遍历顺序都无法识别出是左子节点还是右子节点,那么就优先按左子节点算(类似 1028. Recover a Tree From Preorder Traversal)。
前序(pre-order,NLR),后序(post-order,LRN)。
1 | NLR: N-LEFTSUBTREE-RIGHTSUBTREE |
NLR 第一个数就是整棵二叉树的根节点,而 LRN 第一个数是整棵二叉树最靠左的节点。NLR 从第一个数字开始,直到遇见 LRN 第一个数字,应该就是从根节点到最左节点的路径。
例子:
1 | NLR: 3, 4, 1, 6, 7, 2, 8, 5 |
显然 NLR 的前几个数字 3、4、1、6、7 是最左的一条路径(不排除有些其实是右子节点,但如上边所说,当只有一个子节点时都按左子节点算),7 是叶子节点。为了遍于之后能够再找到这些节点并为它们设置右子节点,需要在遇到的时候就压入栈(最后的 7 不用入栈,因为可知它是叶子节点)。
1 | ↓ |
LRN 的下一个数字 6,跟栈顶一致,说明 6 没有其他子节点,直接出栈。再下一个数字 1 又跟新的栈顶一致,说明 1 也没有右子节点,出栈。再下一个数字 8 跟新的栈顶 4 不一致,说明 8 是 4 的右子树的最靠左的节点。
1 | ↓ |
继续看 NLR 中 7 后边的数字,直到遇到 8(LRN 的当前数字),得到 2、8,说明这是 4 的右子树的最左边的路径,即 2 是 4 的右子节点,8 是 2 的左子节点(且是叶子节点)。
1 | ↓ |
LRN 的后边两个数字 2、4 分别跟栈顶部的两个数字一致,说明 2 和 4 都没有其他子节点,直接出栈。
1 | ↓ |
NLR 的下一个数字和 LRN 的下一个数字都是 5,说明 5 就是当前栈顶 3 右子树的唯一节点。
1 | ↓ |
NLR 已经扫描完毕,而 LRN 的最后一个数字一定等于 NLR 的第一个数字,即为树根。二叉树构造完成。
根据上边例子,整理出构建二叉树的处理逻辑:
- 从
i = 0、j = 0开始扫描 NLR 和 LRN。创建一个虚拟初始节点放在栈里(简化边界处理)。 - 创建节点,其值为
NLR[i]。 - 当前栈顶节点即为新节点的父节点,看栈顶节点是否已经有了左子节点,如果没有则令新节点为其左子节点,否则令新节点为其右子节点。
- 新节点入栈。
- 如果栈顶节点的值等于
LRN[j],出栈,右移 j。重复此检查直到j >= n或者栈顶节点的值不等于LRN[j]。 - 右移 i。
- 回到 2 重复,直到 NLR 扫描完成。
Code
1 | from typing import Optional |