Problem
You are given a network of n nodes, labeled from 1 to n. You are also given times, a list of travel times as directed edges times[i] = (uᵢ, vᵢ, wᵢ), where uᵢ is the source node, vᵢ is the target node, and wᵢ is the time it takes for a signal to travel from source to target.
We will send a signal from a given node k. Return the minimum time it takes for all the n nodes to receive the signal. If it is impossible for all the n nodes to receive the signal, return -1.
https://leetcode.cn/problems/network-delay-time/
Example 1:

Input:
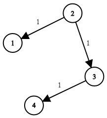
times = [[2,1,1],[2,3,1],[3,4,1]], n = 4, k = 2
Output:2
Example 2:
Input:
times = [[1,2,1]], n = 2, k = 1
Output:1
Example 3:
Input:
times = [[1,2,1]], n = 2, k = 2
Output:-1
Constraints:
1 <= k <= n <= 1001 <= times.length <= 6000times[i].length == 31 <= uᵢ, vᵢ <= nuᵢ != vᵢ0 <= wi <= 100- All the pairs
(uᵢ, vᵢ)are unique. (i.e., no multiple edges.)
Test Cases
1 | class Solution: |
1 | import pytest |
Thoughts
记信号传输到节点 i 所需的最小时间为 c(i)。初始时 c(k) = 0,其他均为 ∞。
从节点 k 出发遍历图。如果信号从 u 传播到 v,易知 c(v) = min{c(v), c(u) + w(u, v)}。如果 c(v) 被更新(发现了能更快传播到 v 的路径),继续递归处理 v 的下游节点。
使用广度优先遍历有可能得到更多的剪枝,广度优先可以用队列。尤其如果使用带优先级的队列,每次处理信号最早到达的节点,能加大剪枝的概率。最小堆是很适合的数据结构,堆顶就是最快到达的节点,每次把堆顶推出。
做完 2290. Minimum Obstacle Removal to Reach Corner 发现其实就是实现了 Dijkstra 算法(基于优先队列优化的)。
时间复杂度 O((e + n) log n)(每个节点进入队列时要恢复堆的结构),空间复杂度 O(n)(队列大小)。e 是边的数量,即 times 数组的长度。
Code
这里直接借助 Python 自带的 heapq 辅助堆的操作。
1 | from heapq import heappop, heappush |