Problem
In this problem, a tree is an undirected graph that is connected and has no cycles.
You are given a graph that started as a tree with n nodes labeled from 1 to n, with one additional edge added. The added edge has two different vertices chosen from 1 to n, and was not an edge that already existed. The graph is represented as an array edges of length n where edges[i] = [aᵢ, bᵢ] indicates that there is an edge between nodes aᵢ and bᵢ in the graph.
Return an edge that can be removed so that the resulting graph is a tree of n nodes. If there are multiple answers, return the answer that occurs last in the input.
https://leetcode.com/problems/redundant-connection/
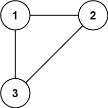
Example 1:

Input:
edges = [[1,2],[1,3],[2,3]]
Output:[2,3]
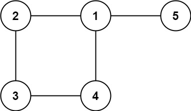
Example 2:

Input:
edges = [[1,2],[2,3],[3,4],[1,4],[1,5]]
Output:[1,4]
Constraints:
n == edges.length3 <= n <= 1000edges[i].length == 21 <= aᵢ < bᵢ <= edges.lengthaᵢ != bᵢ- There are no repeated edges.
- The given graph is connected.
Test Cases
1 | class Solution: |
1 | import pytest |
Thoughts
开始就直接用类似 1591. Strange Printer II 或 207. Course Schedule 中提到的方法判断给定的图中是否有环。当然一定有环,而发现环的那条边就是环上的一条边,可以删掉。
结果发现题目要求如果有多个可行解,需要返回给定的边中最后出现的那条。有点儿麻烦,而且还要再花不少额外的处理时间。
另一个直观的想法是维护能连通到一起的点集。按顺序扫描所有的边,如果某条边的两个顶点本来就已经是连通的,说明这条边是冗余的。显然再之后的边都不可能是冗余的。
开始想自己用多个顶点的集合来维护各个连通的点集,但复杂度大约在 O(n²)。
实际上这个就是「并查集」结构的典型应用场景(Disjoint-set data structure),支持查询(find)和添加(union)操作。神奇的是平均情况下,find 和 union 方法的时间复杂度都接近 O(1)(最坏情况 O(log n))。
整体平均时间复杂度 O(n),空间复杂度 O(1)。
Code
1 | class DisjointSet: |