Problem
There is a bi-directional graph with n vertices, where each vertex is labeled from 0 to n - 1. The edges in the graph are represented by a given 2D integer array edges, where edges[i] = [uᵢ, vᵢ] denotes an edge between vertex uᵢ and vertex vᵢ. Every vertex pair is connected by at most one edge, and no vertex has an edge to itself.
Return the length of the shortest cycle in the graph. If no cycle exists, return -1.
A cycle is a path that starts and ends at the same node, and each edge in the path is used only once.
https://leetcode.com/problems/shortest-cycle-in-a-graph/
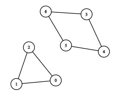
Example 1:

Input:
n = 7, edges = [[0,1],[1,2],[2,0],[3,4],[4,5],[5,6],[6,3]]
Output:3
Explanation: The cycle with the smallest length is :0 -> 1 -> 2 -> 0.
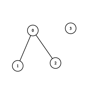
Example 2:

Input:
n = 4, edges = [[0,1],[0,2]]
Output:-1
Explanation: There are no cycles in this graph.
Constraints:
2 <= n <= 10001 <= edges.length <= 1000edges[i].length == 20 <= uᵢ, vᵢ < nuᵢ != vᵢ- There are no repeated edges.
Test Cases
1 | class Solution: |
1 | import pytest |
Thoughts
从任意顶点 r 出发,广度优先搜索(BFS),如果遇到见过的顶点则说明走遍了一个完整的环。定义 d(u) 表示从 r 出发,走到 u 的路径长度(初值 d(r) = 0)。如果在处理边 (u, v) 的时候发现 v 已经见过了,那么 d(u) + d(v) + 1 一定不比环长小。
如果 r 刚好在环上,则环长等于 d(u) + d(v) + 1,而且易知这就是经过 r 的最小的环。如:
如果 r 不在环上,则环长小于 d(u) + d(v) + 1。如:
对所有的顶点进行同样的处理,一定可以(当起点是最小环上的某个顶点的时候)得到最小的环长。
一次 BFS 的时间复杂度是 O(E),总计时间复杂度 O(n * E),空间复杂度 O(n + E)。
Code
1 | from collections import deque |
Faster
对于一条边 (u, v),想得到包含该边的最短环长,可以先把这条边删掉,然后计算 u 到 v 的最短距离(Dijkstra 算法,参见 2290. Minimum Obstacle Removal to Reach Corner)。如果 u 和 v 是可达的,最短距离为 dis,那么包含边 (u, v) 的最短环长为 dis + 1。否则 (u, v) 不在任何环上。
因为本来就要根据给定的边集 edges 构建图,构建的过程就是依次把每条边加进去。那么可以在构建的过程中,对于每一条将要加入的边 (u, v),在加入之前先在已有的图中计算 u 到 v 的最短距离,从而确定包含边 (u, v) 的最短环长。这样最小环的最后一条边被加入的前一刻,一定可以得到最小环长。
最坏时间复杂度是 O(E * n)。空间复杂度 O(n + E)。
1 | from heapq import heappop, heappush |