Problem
You are given a directed graph of n nodes numbered from 0 to n - 1, where each node has at most one outgoing edge.
The graph is represented with a given 0-indexed array edges of size n, indicating that there is a directed edge from node i to node edges[i]. If there is no outgoing edge from node i, then edges[i] == -1.
Return the length of the longest cycle in the graph. If no cycle exists, return -1.
A cycle is a path that starts and ends at the same node.
https://leetcode.com/problems/longest-cycle-in-a-graph/
Example 1:

Input:
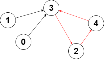
edges = [3,3,4,2,3]
Output:3
Explanation: The longest cycle in the graph is the cycle:2 -> 4 -> 3 -> 2.
The length of this cycle is 3, so 3 is returned.
Example 2:

Input:
edges = [2,-1,3,1]
Output:-1
Explanation: There are no cycles in this graph.
Constraints:
n == edges.length2 <= n <= 10⁵-1 <= edges[i] < nedges[i] != i
Test Cases
1 | class Solution: |
1 | import pytest |
Thoughts
任意图求最大环,类似于计算哈密顿回路,是 NP 难问题。本题是加了限定条件的图。
相当于简版的 2127. Maximum Employees to Be Invited to a Meeting,只是每个顶点的入度从严格为 1 变为小于等于 1,然后也不需要计算长度为 2 的环两头的拉链长度。
直接在 problem 2127 第二个方法——拓扑排序 的代码上改一改就行了。
Code
1 | from collections import deque |
Simpler
之前在 problem 2127 中拓扑排序是为了能计算出「环上的每个顶点,指向它的无环边的最大长度」。本题并不需要这个信息,除了在拓扑排序过程中不在记录 d(u) 值,整个处理逻辑都可以进一步简化。
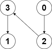
假设从一个顶点 u 出发,如果会进入环路,则一定会遇到出发后曾经见过的某个顶点,不妨设每一秒移动一次,那么两次遇到同一个顶点的时间之差,就是环长。
如下图,从 u 出发,记出发时间为 t = 1。第一次经过 v 的时间是 t = 3,到 t = 8 时再次访问 v,说明有环,且环长为 8 - 3 = 5。
为了避免重复处理,每个顶点经过的时间都记录下来,曾经访问过的顶点就不再访问了。
但是像上图那样,当第二次访问到 v,发现 v 已经被访问过,需要能够知道是本轮(从 u 出发后)才访问的,还是之前就已经访问过。一个简单的方法就是让时间一直递增下去,这样本轮的出发时刻就一定比之前所有节点被访问的时刻都靠后。
时间和空间复杂度都是 O(n)。
1 | class Solution: |