Problem
Given the root of a binary tree, return the postorder traversal of its nodes’ values.
https://leetcode.com/problems/binary-tree-postorder-traversal/
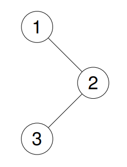
Example 1:
Input:
root = [1,null,2,3]
Output:[3,2,1]
Explanation:
Example 2:
Input:
root = [1,2,3,4,5,null,8,null,null,6,7,9]
Output:[4,6,7,5,2,9,8,3,1]
Explanation:
Example 3:
Input:
root = []
Output:[]
Example 4:
Input:
root = [1]
Output:[1]
Constraints:
- The number of the nodes in the tree is in the range
[0, 100]. -100 <= Node.val <= 100
Follow up: Recursive solution is trivial, could you do it iteratively?
Test Cases
1 | # Definition for a binary tree node. |
1 | import pytest |
Thoughts
在 124. Binary Tree Maximum Path Sum 或 337. House Robber III 中都用到了基于栈的非递归后序遍历二叉树。
Code
1 | from typing import Optional |

