Problem

You are given the head of a singly linked-list. The list can be represented as:

L0 → L1 → … → Ln - 1 → Ln

Reorder the list to be on the following form:

L0 → Ln → L1 → Ln - 1 → L2 → Ln - 2 → …

You may not modify the values in the list’s nodes. Only nodes themselves may be changed.

https://leetcode.com/problems/reorder-list/

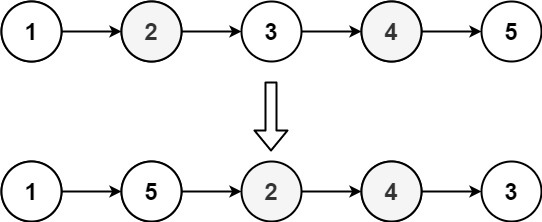
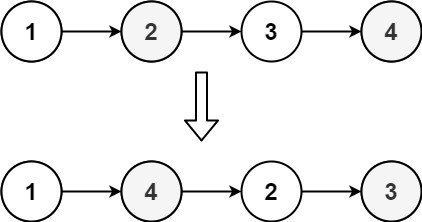
Example 1:

case1

Input: head = [1,2,3,4]
Output: [1,4,2,3]

Example 2:

case2

Input: head = [1,2,3,4,5]
Output: [1,5,2,4,3]

Constraints:

  • The number of nodes in the list is in the range [1, 5 * 10⁴].
  • 1 <= Node.val <= 1000

Test Cases

1
2
3
4
5
6
7
8
9
10
# Definition for singly-linked list.
# class ListNode:
# def __init__(self, val=0, next=None):
# self.val = val
# self.next = next
class Solution:
def reorderList(self, head: Optional[ListNode]) -> None:
"""
Do not return anything, modify head in-place instead.
"""
solution_test.py
1
2
3
4
5
6
7
8
9
10
11
12
13
14
15
16
17
18
19
20
21
22
23
24
25
26
27
28
29
30
31
32
33
import pytest

from node import ListNode
from solution import Solution


@pytest.mark.parametrize('values, expected', [
([1,2,3,4], [1,4,2,3]),
([1,2,3,4,5], [1,5,2,4,3]),
])
class Test:
def test_solution(self, values, expected):
sol = Solution()
head = self._build_list(values)
sol.reorderList(head)
result = self._format(head)
assert result == expected

def _build_list(self, values: list[int]) -> ListNode | None:
root = ListNode()
node = root
for v in values:
node.next = node = ListNode(v)

return root.next

def _format(self, head: ListNode | None) -> list[int]:
values = []
while head is not None:
values.append(head.val)
head = head.next

return values

Thoughts

类似于翻转单链表。

先找到链表右半段的起点。用两个指针 p1 和 p2,从链表头开始,p1 每次走一步,p2 每次走两步。当 p2 走到链表终点时,p1 指在中间位置,也就是需要翻转的子链表的起点。

注意奇偶数长度的差异。每次可以先让 p2 走一步,如果没到头就让 p1、p2 再各走一步,否则就不动 p1 了。当 p2 走到头时,p1.next 是需要翻转的部分的第一个节点。

然后翻转右半段链表,直接一次遍历逐个节点翻转。

最后把两个半条链表归并串联起来。

Code

solution.py
1
2
3
4
5
6
7
8
9
10
11
12
13
14
15
16
17
18
19
20
21
22
23
24
25
26
27
28
29
30
31
32
33
34
35
36
37
38
from typing import Optional

from node import ListNode

# Definition for singly-linked list.
# class ListNode:
# def __init__(self, val=0, next=None):
# self.val = val
# self.next = next


class Solution:
def reorderList(self, head: Optional[ListNode]) -> None:
"""
Do not return anything, modify head in-place instead.
"""
# Find the start node of the right part (to be inverted).
p1 = p2 = head
while p2 is not None:
p2 = p2.next
if p2 is None:
break
p1 = p1.next
p2 = p2.next

right, p1.next = p1.next, None

# Invert the right half list.
prev = None
curr = right
while curr is not None:
curr.next, prev, curr = prev, curr, curr.next

right = prev

# Merge left half and inverted right half into one.
while right is not None:
head.next, right.next, head, right = right, head.next, head.next, right.next