Problem
A path in a binary tree is a sequence of nodes where each pair of adjacent nodes in the sequence has an edge connecting them. A node can only appear in the sequence at most once. Note that the path does not need to pass through the root.
The path sum of a path is the sum of the node’s values in the path.
Given the root of a binary tree, return the maximum path sum of any non-empty path.
https://leetcode.com/problems/binary-tree-maximum-path-sum/
Example 1:

Input:
root = [1,2,3]
Output:6
Explanation: The optimal path is2 -> 1 -> 3with a path sum of2 + 1 + 3 = 6.
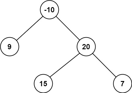
Example 2:

Input:
root = [-10,9,20,null,null,15,7]
Output:42
Explanation: The optimal path is15 -> 20 -> 7with a path sum of15 + 20 + 7 = 42.
Constraints:
- The number of nodes in the tree is in the range
[1, 3 * 10⁴]. -1000 <= Node.val <= 1000
Test Cases
1 | # Definition for a binary tree node. |
1 | import pytest |
Thoughts
对任意一个节点 u,如果能确定以其为根节点的子树内,节点 u 包含其中 的所有路径(或称必经路径)中的最大路径和(记为 ps(u))。那么所有节点中,ps 的最大值即为题目所求的最大路径和。
对于节点 u,定义 s(u) 为 以 u 为(最靠上)端点 的所有路径(或称单边路径)中的最大路径和。显然有:
即要么节点 u 自成路径(单一节点),要么与其左子节点的最大单边路径连起来,要么与其右子节点的最大单边路径连起来。进而得到:
即要么是最大单边路径,要么左右两边最大单边路径连成的一整条 ∧ 形状的路径。
遍历二叉树(这里用后序(post-order,LRN)最方便),过程中记录每个节点的 s 值,以及所见到的最大的 ps 值。
s(u) 可以直接保存在 u.val 上,减少额外的空间消耗。
非递归的后序遍历也是用栈辅助,比前序(pre-order,NLR)和中序(in-order,LNR)稍微麻烦一点的地方是,根节点需要等其左右子节点都处理完再出栈。可以考虑添加一个临时变量记录前一次访问的节点,如果前一个节点是根节点(栈里最后一个节点)的右子节点,就说明左右子节点都处理完毕,可以从栈里把根节点弹出来进行处理。
Code
1 | from typing import Optional |