Problem

Given the root of a binary tree, return its maximum depth.

A binary tree’s maximum depth is the number of nodes along the longest path from the root node down to the farthest leaf node.

https://leetcode.com/problems/maximum-depth-of-binary-tree/

Example 1:

case1
case1

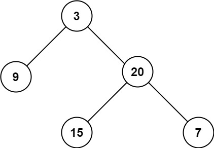
Input: root = [3,9,20,null,null,15,7]
Output: 3

Example 2:

Input: root = [1,null,2]
Output: 2

Constraints:

Constraints:

  • The number of nodes in the tree is in the range [0, 10⁴].
  • -100 <= Node.val <= 100

Test Cases

1
2
3
4
5
6
7
8
# Definition for a binary tree node.
# class TreeNode:
# def __init__(self, val=0, left=None, right=None):
# self.val = val
# self.left = left
# self.right = right
class Solution:
def maxDepth(self, root: Optional[TreeNode]) -> int:
solution_test.py
1
2
3
4
5
6
7
8
9
10
11
12
13
14
15
16
17
18
19
import pytest

import os
import sys
sys.path.append(os.path.dirname(os.path.dirname(__file__)))
from _utils.binary_tree import build_tree
from solution import Solution

null = None


@pytest.mark.parametrize('root, expected', [
([3,9,20,null,null,15,7], 3),
([1,null,2], 2),
])
class Test:
def test_solution(self, root, expected):
sol = Solution()
assert sol.maxDepth(build_tree(root)) == expected

Thoughts

相当于 102. Binary Tree Level Order Traversal 的简化版,只记录层数,不输出节点的值。

直接用层序(level-order)遍历二叉树,或者其他顺序也行。

Code

solution.py
1
2
3
4
5
6
7
8
9
10
11
12
13
14
15
16
17
18
19
20
21
22
23
from collections import deque
from typing import Optional


# Definition for a binary tree node.
class TreeNode:
def __init__(self, val=0, left=None, right=None):
self.val = val
self.left = left
self.right = right


class Solution:
def maxDepth(self, root: Optional[TreeNode]) -> int:
queue = deque()
queue.append((root, 0))
while len(queue) > 0:
root, level = queue.popleft()
if root is not None:
queue.append((root.left, level + 1))
queue.append((root.right, level + 1))

return level