Problem
Given the root of a binary tree, determine if it is a valid binary search tree (BST).
A valid BST is defined as follows:
- The left subtree of a node contains only nodes with keys less than the node’s key.
- The right subtree of a node contains only nodes with keys greater than the node’s key.
- Both the left and right subtrees must also be binary search trees.
A subtree of
treeNameis a tree consisting of a node intreeNameand all of its descendants.
https://leetcode.com/problems/validate-binary-search-tree/
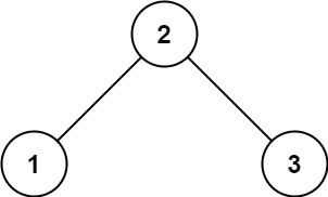
Example 1:

Input:
root = [2,1,3]
Output:true
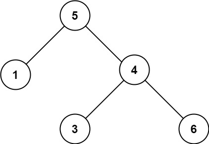
Example 2:

Input:
root = [5,1,4,null,null,3,6]
Output:false
Explanation: The root node’s value is 5 but its right child’s value is 4.
Constraints:
- The number of nodes in the tree is in the range
[1, 10⁴]. -2³¹ <= Node.val <= 2³¹ - 1
Test Cases
1 | # Definition for a binary tree node. |
1 | import pytest |
Thoughts
直接按照中序(in-order,LNR)遍历二叉树。如果是 BST,会得到一个严格递增的序列。遍历的时候拿当前节点和前一个节点比较,如果 key 不是严格增大的就不是 BST。
可以用栈和循环替代递归。
Code
1 | from typing import Optional |