Problem
There are n teams numbered from 0 to n - 1 in a tournament; each team is also a node in a DAG.
You are given the integer n and a 0-indexed 2D integer array edges of length m representing the DAG, where edges[i] = [uᵢ, vᵢ] indicates that there is a directed edge from team uᵢ to team vᵢ in the graph.
A directed edge from a to b in the graph means that team a is stronger than team b and team b is weaker than team a.
Team a will be the champion of the tournament if there is no team b that is stronger than team a.
Return the team that will be the champion of the tournament if there is a unique champion, otherwise, return -1.
Notes:
- A cycle is a series of nodes 
a₁, a₂, ..., aₙ, aₙ₊₁such that nodea₁is the same node as nodeaₙ₊₁, the nodesa₁, a₂, ..., aₙare distinct, and there is a directed edge from the nodeaᵢto nodeaᵢ₊₁for everyiin the range[1, n]. - A DAG is a directed graph that does not have any cycle.
 
https://leetcode.com/problems/find-champion-ii/
Example 1:

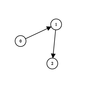
Input:
n = 3, edges = [[0,1],[1,2]]
Output:0
Explanation: Team 1 is weaker than team 0. Team 2 is weaker than team 1. So the champion is team 0.
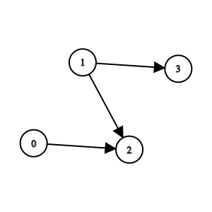
Example 2:

Input: n = 4, edges = [[0,2],[1,3],[1,2]]
 Output: -1
 Explanation: Team 2 is weaker than team 0 and team 1. Team 3 is weaker than team 1. But team 1 and team 0 are not weaker than any other teams. So the answer is -1.
Constraints:
1 <= n <= 100m == edges.length0 <= m <= n * (n - 1) / 2edges[i].length == 20 <= edge[i][j] <= n - 1edges[i][0] != edges[i][1]- The input is generated such that if team 
ais stronger than teamb, teambis not stronger than teama. - The input is generated such that if team 
ais stronger than teamband teambis stronger than teamc, then teamais stronger than teamc. 
Test Cases
1  | class Solution:  | 
1  | import pytest  | 
Thoughts
跟 2923. Find Champion I 差不多。
冠军组的入度为 0。扫描所有的边,记录入度大于零的节点,剩下的就是入度为 0 的节点。如果刚好只有一个,那就是冠军组,否则没有冠军组。
时间复杂度 O(n + m),空间复杂度 O(n)。
Code
1  | class Solution:  |